El alcalde de Ponferrada, Olegario Ramón (I), junto al portavoz del grupo Popular, Marco Morala (D), durante el pleno de presupuestos en el Ayuntamiento de Ponferrada (Foto: César Sánchez / ICAL)El Ayuntamiento de Ponferrada ha celebrado este lunes un pleno extraordinario con el punto primordial de debatir los presupuestos municipales del ejercicio de 2021. La sesión plenaria, que se desarrolló con la participación mayoritaria de los concejales de manera telemática, dio luz verde a una partida global de 62,5 millones de euros, con una inversión real superior a los 5 millones.
Si bien la aprobación del presupuesto salió adelante con los 15 votos a favor del equipo de Gobierno (integrado por el 'tripartito' de PSOE, Podemos y Coalición por El Bierzo) así como del PRB, la tónica predominante en la sesión plenaria fueron las críticas y reproches de la oposición e incluso de la portavoz de Podemos, Lorena González, quien aseveró "falta de inversión en el ámbito social" y defendió incluso a la oposición, criticando los plazos y el modo de elaboración de estos presupuestos. Por su parte, los presupuestos recibieron los 10 votos en contra de PP, USE Bierzo y Ciudadanos.
Cuantías y líneas presupuestarias
El presupuesto general del Ayuntamiento de Ponferrada para el ejercicio de 2021 asciende a 62.587.000 millones en ingresos y gastos; 206.000 para el Patronato de Fiestas en ingresos y gastos; 52.000 euros para la disolución del Instituto Municipal de Formación y Empleo (I.M.F.E.); 2.030.152,73 euros para la Sociedad Pongesur en trámite de disolución; que en definitiva arrojan una cifra de 64.672.142,73 euros de presupuesto consolidado y un superávit de 25.077,27 euros. Para sacar adelante los presupuestos el consistorio ha recurrido a un préstamo de 3 millones de euros, que el alcalde introdujo como "un momento de extraordinaria complejidad para el aumento de las inversiones".
En términos generales, el alcalde de Ponferrada, Olegario Ramón, puso en valor que este presupuesto contempla un "aumento importante en partidas inversoras y gasto social" y destacó la consigna de "dos cuantías muy relevantes para la liquidación del contrato del servicio de Transporte Urbano de Ponferrada (TUP) superado la situación de alegalidad y para el contrato de recogida de residuos urbanos y limpieza viaria", insistiendo en que "la desgraciada alegalidad de estos contratos llega a su fin".
Asimismo, el presupuesto también contempla un aumento del gasto en el capítulo de personal, con el nuevo marco y convenio colectivo, así como la publicación de 59 plazas de empleo público de libre concurrencia en este año, a las que se añadirán 36 más de promoción interna. Por otro lado, reseñó el regidor un "notable incremento dada la situación de la pandemia absolutamente necesaria para la protección social y recuperación económica" con un "aumento de inversiones que generara puestos de trabajo, dinamismo en la economía y mejora de la situación".
"La cuantía global de Bienestar Social aumenta en 435.000 euros y el presupuesto contempla varias líneas de ayuda al comercio y restauración, así como para aliviar la situación de empresas y autónomos y garantizar su viabilidad", explicó Ramón, quien también hizo mención al "compromiso con el desarrollo de Ponferrada como destino inteligente sostenible y de calidad".
La partida inversora de 5,4 millones contempla la puesta en marcha de proyectos de amplio calado, entre los que destacan las actuaciones medioambientales de creación de nuevas superficies forestales y huertos urbanos, tales como el Bosque Urbano que se ubicará en los terrenos de la Montaña de Carbón. Además, el proyecto presupuestario recoge también un plan de asfaltado, así como la ampliación y mejora de la iluminación en colegios, pasos de peatones, instalaciones deportivas y un plan de alumbrado en el medio rural. El presupuesto también prevé la remodelación de las pistas de atletismo del estadio Colomán Trabado, las cubiertas de varias instalaciones deportivas, instalación de un sistema de climatización en el pabellón Lydia Valentín y de calefacción para el pabellón José Arroyo y en los campos Ramón Martínez. Por otro lado, el proyecto de presupuesto también recoge un incremento en la partida de Educación, con renovación de las instalaciones térmicas en colegios como San Antonio, La Borreca, Campo de la Cruz o Navaliegos. En la Biblioteca Municipal se reforzará la climatización de la segunda planta y se acometerá la renovación de los equipos informáticos.
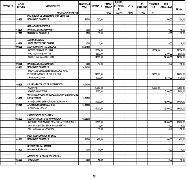
*El anexo íntegro de inversiones de los presupuestos de Ponferrada para 2021 se adjunta al final de esta noticia.
Debate en la corporación municipal
En los turnos de intervención, la concejala de Bienestar Social, Infancia e Igualdad y portavoz de Podemos, Lorena González, puso en valor que desde el próximo lunes las escuelas públicas y el comedor serán un servicio gratuito para las familias en situación de vulnerabilidad, lo que supone un “paso de gigante en materia de protección social y blinda los derechos educativos de las niñas y niños del municipio”. Sin embargo, la portavoz de la formación morada se mostró crítica con el equipo de Gobierno, reprochando "desprecio a la oposición" y tachando la inversión en materia social de "insuficiente para un Gobierno progresista".
El portavoz del PRB, Tarsicio Carballo, se mostró tajante al afirmar que "no nos gustan estos presupuestos, nuestras propuestas no han sido aceptadas, los ingresos se podrían aumentar muchísimo". Carballo reprochó la falta de inversión para urbanizar ciertas calles del municipio y la mejoría en zonas deterioradas, aceras, calzadas y espacios públicos, así como la mejoría en iluminación y esfuerzos para beneficiar el comercio urbano, con mención especial a la avenida de La Puebla.
Por su parte, Samuel Folgueral (USE Bierzo) hizo referencia a los presupuestos como "de escasa altura, cortos en muchísimos aspectos, con falta de instrumentalización de políticas de modernidad". Además, criticó que "es mentira que se hayan consensuado estos presupuestos con la oposición".
Desde el Partido Popular, Marco Morala reprochó que "la economía y el empleo no mejorarán" con estos presupuestos y acusó al Gobierno de estar "asentado en la apatía" con unos presupuestos "anclados en el pasado y no adecuados para garantizar la supervivencia de negocios y familias". Justificó su rechazo a los presupuestos insistiendo en que "son insuficientes para las necesidades del municipio".
El concejal de Medio Rural y portavoz de Coalición por El Bierzo, Iván Alonso, puso en valor la inversión en ayudas al comercio y la hostelería así como el aumento en las dotaciones para el mundo rural y mejoría del alcantarillado. Desde el PSOE, Maria Isabel Fernández Rodríguez también subrayó el incremento en protección social y la inversión en recursos turísticos.
La portavoz de Ciudadanos, Ruth Morales, reprochó "falta de sensibilidad con los sectores que más han sufrido la crisis" y echó en falta "más esfuerzo en inversión para ayudas y subvenciones a los sectores afectados". Asimismo, la portavoz de la formación naranja aseveró que "la partida para el Bosque Urbano es totalmente insuficiente y tardaremos lustros en ver el bosque". Finalmente, calificó como un "despropósito que se vuelva a recurrir al endeudamiento recurriendo a un préstamo que pagarán los ponferradinos", tachando al equipo de Gobierno actual del "más derrochador en la historia de Ponferrada".
El alcalde Olegario Ramón concluyó el turno de intervenciones previo a la votación zanjando que "tenemos pocos recursos y necesidades infinitas". "Hemos tenido la voluntad de consensuar estos presupuestos aun cuando la extensión numérica del equipo de Gobierno podía garantizar su aprobación", expuso el regidor al tiempo que criticó a los tres grupos de la oposición que no apoyaron los presupuestos por "no estar a la altura".


Pleno de presupuestos en el Ayuntamiento de Ponferrada (Foto: César Sánchez / ICAL)
El alcalde de Ponferrada, Olegario Ramón (D), junto al portavoz del grupo de Coalición por el Bierzo, Iván Alonso (D), y la concejala de Hacienda, Mabel Fernández, durante el pleno de presupuestos en el Ayuntamiento de Ponferrada (Foto: César Sánchez / ICAL)
El portavoz del Partido Regionalista del Bierzo en el Ayuntamiento de Ponferrada, Tarsicio Carballo (I), junto a la portavoz de Ciudadanos, Ruth Morales, y el portavoz del grupo Popular, Marco Morala (D), durante el pleno de presupuestos en el Ayuntamiento de Ponferrada (Foto: César Sánchez / ICAL)
(I a D): El del grupo Popular en el Ayuntamiento de Ponferrada, Marco Morala; el portavoz de Use Bierzo, Samuel Folgueral; el portavoz del Partido Regionalista del Bierzo, Tarsicio Carballo; y la portavoz de Ciudadanos, Ruth Morales, durante el pleno de presupuestos en el Ayuntamiento de Ponferrada (Foto: César Sánchez / ICAL)
El alcalde de Ponferrada, Olegario Ramón, junto a la portavoz Unidas Podemos, Lorena González, durante el pleno de presupuestos en el Ayuntamiento de Ponferrada (Foto: César Sánchez / ICAL)
El portavoz del grupo Popular en el Ayuntamiento de Ponferrada, Marco Morala, durante el pleno de presupuestos (Foto: César Sánchez / ICAL)
El portavoz de Coalición por el Bierzo en el Ayuntamiento de Ponferrada, Iván Alonso, durante el pleno de presupuestos en el Ayuntamiento de Ponferrada (Foto: César Sánchez / ICAL)
La portavoz de Unidas Podemos en el Ayuntamiento de Ponferrada, Lorena González, durante el pleno de presupuestos en el Ayuntamiento de Ponferrada (Foto: César Sánchez / ICAL)Anexo de inversiones









